1、根据对数函数的定义域要求,函数的真数部分为非负数,即要求:
x^2+4>0,根据该不等式的特征,可知不等式恒成立,即
函数y的定义域为全体实数,即定义域为:(-∞,+∞)。

2、计算出函数的一阶导数,通过函数的一阶导数,求出函数的单调区间。
3、函数单调性:
y=log3(x^2+4),
dy/dx=d(x^2+4)/[ln3(x^2+4)],
dy/dx =2x/[ln3(1x^2+4)],令dy/dx=0,则:x=0,即有:
(1)当x∈[0,+∞)时,dy/dx≥0,此时函数单调递增,区间为增区间;
(2)当x∈(-∞,0)时,dy/dx<0,此时函数单调递减,区间为减区间。

4、函数的凸凹性,通过函数的二阶导数,解析函数的凸凹区间。
x^2=4,即:
x1=-2,x2=2。
当x∈(-∞, -2) ,( 2,+∞)时,d^2y/dx^2<0,此时函数为凸函数;
当x∈[-2, 2]时,d^2y/dx^2≥0,此时函数为凹函数。

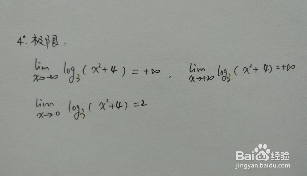
5、函数的极限性质,即函数在间断点处的极限。
Lim(x→-∞)log3(x^2+4)=+∞,
Lim(x→0)log3(x^2+4)=log3 4,
Lim(x→+∞)log3(x^2+4)=+∞。

6、函数的奇偶性,判断函数的奇偶性,由于函数f(-x)=f(x),即函数为偶函数,确定其对称性为关于y轴对称。

7、函数图上,部分点以图表解析表列举如下:
例如,当x=0时,y=log34;
当x=1时,y=log3(1+4)=log35.

8、函数的示意图,综合以上函数的性质,函数的示意图如下:
通过图像示意图,可以看出,函数图像呈现“v”字形,图像关于y轴对称。
